This is an example of a HTML caption with a link.

Управление и экономика фармации

В зарубежных странах для обеспечения системного подхода при изучении факторов изменения прибыли и прогнозирования ее величины используют маржинальный анализ, в основе которого лежит маржинальный доход.

Маржинальный доход (МД) – это прибыль в сумме с постоянными затратами (А).

МД=П+А,

откуда

П=МД-А.

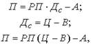
Очень часто при определении суммы прибыли вместо маржинального дохода используется выручка (РП) и удельный вес маржинального дохода в ней (Ду).

Поскольку

то

Данная формула успешно применяется тогда, когда необходимо проанализировать прибыль от реализации нескольких видов продукции.

При анализе прибыли от реализации одного вида продукции можно применять модифицированную формулу определения прибыли, если известно количество проданной продукции и ставка маржинального дохода (Дс) в цене за единицу продукции:

где В - переменные затраты за единицу продукции.

59)Цена, назначенная продавцом, так или иначе отразится на уровне спроса на товар. Эта взаимосвязь объясняется двумя экономическими принципами (законом спроса и ценовой эластичностью спроса) и сегментацией рынка.

Закон спроса гласит, что чем выше цена, тем меньше число тех, кто согласится купить данный товар, и наоборот, чем ниже цена, тем больше будет число покупателей и количество приобретаемого товара. Таким образом, спрос и цена находятся в обратно пропорциональной зависимости. Однако при повышении цен на престижные товары часто наблюдается увеличение спроса, так как потребители могут посчитать более высокую цену показателем более высокого качества. При слишком высокой цене спрос на престижные товары уменьшается. Под влиянием цен происходит изменение величины спроса, а под влиянием неценовых факторов изменяется сам спрос. Изменение спроса может зависеть от положения экономики, изменения моды на товар, проведения рекламной кампании, многих других факторов. Таким образом, при повышении уровня спроса при прежней цене продавец может продать большее количество товара, а при уменьшении - меньшее.

Ценовая эластичность спроса определяет чувствительность покупателей к изменениям в ценах с точки зрения объема товаров, которые они приобретают.

Ценовая эластичность определяется отношением изменения величины спроса (в процентах) к изменению цен (в процентах).

Эластичный спрос имеет место в тех случаях, когда ценовая эластичность больше 1: небольшие изменения в ценах приводят к большим изменениям в размерах спроса. При этом общий доход возрастает, когда цены снижаются, и уменьшается, когда цены растут. Неэластичный спрос имеет место в тех случаях, когда ценовая эластичность меньше 1: ценовые изменения незначительно влияют на объем спроса. Общий доход возрастает, когда цены повышаются, и падает, когда цены снижаются. Ценовая эластичность равна 1, когда изменения в ценах компенсируются изменениями в размере спроса, так что общий объем реализации остается постоянным. Наличие того или иного типа спроса основывается на двух критериях: доступности замен и важности потребности. Если потребитель считает, что существует множество аналогичных товаров и услуг, из которых можно сделать выбор, и нет срочности в совершении покупки, спрос является эластичным и значительно зависит от изменений в цене. Увеличение цен приведет к покупке заменителя или отложенной покупке. Снижение цен увеличит объем реализации, отвлечет покупателей от конкурентов или заставит их раньше совершить покупку. Высокоэластичной для многих потребителей является цена авиабилета при поездках на отдых. В тех случаях, когда потребители считают, что предложения фирмы уникальны или существует острая необходимость в совершении покупки, спрос неэластичен и изменения цены влияют на него незначительно. Ни увеличение, ни понижение цен не окажут существенного воздействия на спрос. К таким покупкам относятся предметы первой необходимости.

Перейти на страницу: 68 69 70 71 72 73 74 75 76 77 78