This is an example of a HTML caption with a link.

Витамин А.Строение и свойства

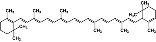
ВИТАМИН А-группа природных соединений - производных1074-44.jpgионона (формула I). Кристаллические вещества, не растворимы в воде, хорошо растворяются в органических растворителях. Разлагаются при взаимодействии с О2. Склонны к цис-транс-изомеризации, особенно по связям 11 и 13. Важнейшие представители: ретинол (витамин А1, витамин А1-спирт, эксерофтол; формула II, R = = СН2ОН), ретиналь (ретинен, ретинальдегид, витамин A1-альдегид; II, R = СНО) и ретиноевая кислота (витамин А2, II, R == СООН). У всех соединений, кроме 11-цис-ретиналя, присутствующего в сетчатке глаз, все двойные связи имеют транс-конфигурацию. [11]

1074-45.jpg

В организме в результате действия фермента 15,15-оксигеназы на 1074-46.jpg каротин (главный провитамин витамина А; III) образуются две молекулы ретиналя. Незначительная часть его окисляется до ретиноевой кислоты, которая поступает в кровоток, а основная часть восстанавливается до ретинола. Последний этерифицируется пальмитиновой или другими высшими жирными кислотами и депонируется в печени. В результате последующего гидролиза эфиров свободный витамин секретируется из печени в кровоток. Там он образует комплекс со специфическим ретинолсвязывающим белком (мол. м. 22000), который обеспечивает его солюбилизацию, защиту от окисления и направленный перенос в ткани. Связанный ретинол в отличие от свободного не обладает мембранолитическим действием. [11]

СВОЙСТВА СОЕДИНЕНИЙ, ВХОДЯЩИХ В ГРУППУ ВИТАМИНА А 1075-1.jpg

Витамин А включает ряд близких по структуре соединений:

· ретинол (витамин А-спирт, витамин А1, аксерофтол);

· дегидроретинол (витамин А2);

· ретиналь (ретинен, витамин А-альдегид);

· ретинолевая кислота (витамин А-кислота);

· эфиры этих веществ и их пространственные изомеры.

Дегидроретинол

Ретиналь (R = –CHO);

ретинол (R = –CH2OH);

ретиноевая кислота (R = –COOH)

Ретинол (истинный витамин A, транс-9,13-Диметил-7-(1,1,5-триметилциклогексен-5-ил-6)-нонатетраен-7,9,11,13-ол) — жирорастворимый витамин, антиоксидант. В чистом виде нестабилен, встречается только в продуктах животного происхождения. Поэтому производится и используется в формах ретинола ацетата и ретинола пальмитата. Был открыт в 1913 году двумя независимыми группами ученых (Мак-Коллут — Дэвис и Осборн). Стал первым из открытых витаминов, поэтому его соединение стало обозначаться буквой A в соответствии с алфавитной номенклатурой.[1]

Ретинол является жирорастворимым, поэтому для его усвоения пищевым трактом требуются жиры, а также минеральные вещества. В организме его запасы остаются достаточно долго, чтобы не пополнять его запасы каждый день. Существует две формы этого витамина: это готовый витамин А (ретинол) и провитамин А (каротин), который в организме человека превращается в витамин A, поэтому его можно считать растительной формой витамина A. Витамин A имеет бледно-желтый цвет, который образуется из красного растительного пигмента бета-каротина.[1]

Каротин, впервые был выделен из моркови (от лат. carota – морковь). Известны 3 типа каротинов: α-, β- и γ-каротины, отличающиеся друг от друга химическим строением и биологической активностью. Наибольшей биологической активностью обладает β-каротин, поскольку он содержит два β-иононовых кольца и при распаде в организме из него образуются две молекулы витамина А.

α-Каротин

При окислительном распаде α- и γ-каротинов образуется только по одной молекуле витамина А, поскольку эти провитамины содержат по одному β-иононовому кольцу. Расщепление каротинов на молекулы витамина А происходит преимущественно в кишечнике под действием специфического фермента β-каротин-диоксигеназы (не исключена возможность аналогичного превращения и в печени) в присутствии молекулярного кислорода. При этом образуются 2 молекулы ретиналя, которые под действием специфической кишечной редуктазы восстанавливаются в витамин А. Степень усвоения каротинов и свободного витамина А зависит как от содержания жиров в пище, так и от наличия свободных желчных кислот, являющихся абсолютно необходимыми соединениями для процесса всасывания продуктов распада жиров. [8]

Более подробно выяснено значение витамина А в процессе свето-ощущения. В этом важном физиологическом процессе большую роль играет особый хромолипопротеин – сложный белок родопсин, или зрительный пурпур, являющийся основным светочувствительным пигментом сетчатки, в частности палочек, занимающих ее периферическую часть. Установлено, что родопсин состоит из липопротеина опсина и простети-ческой группы, представленной альдегидом витамина A1(ретиналь); связь между ними осуществляется через альдегидную группу витамина и свободную ε-NH2-группу лизина молекулы белка с образованием шиффова основания. На свету родопсин расщепляется на белок опсин и ретиналь; последний подвергается серии конформационных изменений и превращению в транс-форму. С этими превращениями каким-то образом связана трансформация энергии световых лучей в зрительное возбуждение – процесс, молекулярный механизм которого до сих пор остается загадкой. В темноте происходит обратный процесс – синтез родопсина, требующий наличия активной формы альдегида – 11-цис-ретиналя, который может синтезироваться из цис-ретинола, или транс-ретиналя, или транс-формы витамина А при участии двух специфических ферментов – дегидрогеназы и изомеразы. Более подробно цикл превращений родопсина в сетчатке глаза на свету и в темноте можно представить в виде схемы:

Перейти на страницу: 1 2