This is an example of a HTML caption with a link.

Управление и экономика фармации

3. Копии сертификатов соответствия требованиям безопасности на каждое из поставляемых изделий медицинского назначения, выданных органами по сертификации,

50)

Выбор стратегии

Кадровая политика организации существенно зависит от целого ряда характеристик бизнеса, таких как его размер, отрасль и, конечно, стадия развития. Традиционно выделяют до 5-7 стадий жизненного цикла организации, однако в данной статье мы рассмотрим три типовых этапа, характерных для большинства организаций: бурный рост; стабилизация; кризис. https://altskm.ru барнаул почтовые ящики почтовыи ящик авито объявления в барнауле.

На каждой из стадий жизненного цикла есть свои особенности построения кадровой политики и стратегии управления человеческими ресурсами, которые зависят от потребностей организации.

- бурный рост - характерна для организаций, выходящих на рынок, а также для организаций, работающих на растущем рынке. Кроме того, подобная стадия может образоваться в жизни организации, руководство которой принимает энергичные меры к экспансии на рынке, даже если сам рынок и не растёт.

Организации, находящиеся на данной стадии, для обеспечения развития должны энергично набирать персонал и мотивировать его на высокие результаты. Одновременно происходит достаточно быстрое продвижение сотрудников, хорошо проявивших себя в качестве исполнителей, на руководящие должности. Быстрый набор персонала имеет и побочное последствие - достаточно большое количество ошибок при наборе и, вследствие этого, высокий уровень текучести персонала.

- стадия стабилизации. Стабилизация не означает застоя, а скорее, означает стабильный рост со скоростью, близкой к скорости роста рынка. Если же рынок не растёт или даже падает, организация, находящаяся на стадии стабилизации, борется за удержание доли на рынке или её умеренное увеличение при удержании объёмных показателей.

На этой стадии организация не получает сверхдоходов и вынуждена заботиться о повышении эффективности своей деятельности, в том числе, за счёт улучшения работы персонала. Как правило, компании начинают развивать внутреннее и внешнее обучение персонала, разрабатывать структуру, положения о подразделениях, описания должностей, вводить на этой основе регулярную оценку (аттестацию) персонала и систему окладов.

-кризис. Эта стадия может следовать как после стадии быстрого роста, так и после стабилизации. В условиях кризиса происходит падение всех маркетинговых и финансовых показателей компании. Если руководство организации надеется спасти её, оно принимает меры по сокращению персонала, упорядочению и сокращению окладов сотрудников. Как инструмент упорядочения окладов и сокращения штатов может применяться аттестация. В целях сохранения потенциала компании в ней может проводиться внутреннее обучение сотрудников смежным специальностям.

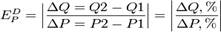
Эластичность спроса по цене, ценовая эластичность спроса — относительное изменение объема спроса при изменении цены на 1 %.

где Q - спрос(количество); P - цена.

Для измерения процентного изменения величины спроса используется формула средней точки Аллена

Перейти на страницу: 79 80 81 82 83 84 85 86 87