This is an example of a HTML caption with a link.

Анализ ЛРС, содержащего витамины

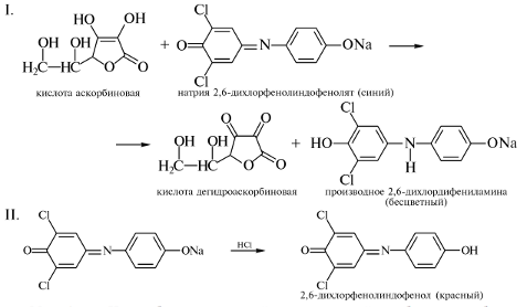
Приведем пример определения витамина в лекарственном растительном сырье (плоды шиповника).

Числовые показатели по PhEur. Кислоты аскорбиновой - не менее 0,3 %; влажность - не более 10 %; золы общей - не более 5 %; посторонних примесей - не более 1 %.

Метод определения количественного содержания кислоты аскорбиновой в плодах шиповника основан на ее способности окисляться до дегидроформы раствором натрия 2,6-дихлорфенолиндофенолята и восстанавливать последний до лейкоформы (I). Точка эквивалентности устанавливается появлением розового окрашивания, которое свидетельствует об отсутствии восстановителя, т.е. кислоты аскорбиновой (2,6-дихлорфенолиндофенол имеет в щелочной среде синее окрашивание, в кислой - красное, а при восстановлении обесцвечивается) (II).

Заключение

Растения, используемые в косметике, принадлежат в большинстве случаев к числу лекарственных, пусть даже не всегда официально признанных. Как продукты живых организмов эти вещества нередко для организма ближе, чем искусственные, хорошо воспринимаются и не столь отягощают метаболизм. Поскольку речь идет о сложных комплексах веществ, то и их воздействие тоже является комплексным. Действия отдельных компонентов очень часто удачно дополняют друг друга. Некоторые из основных видов сырья (например, липиды) часто содержат благоприятно действующие сопровождающие вещества. Но это не является правилом, есть и такие растения, которые могут быть вредными и даже крайне опасными. Кроме того, переносимость отдельных растительных веществ индивидуально различается; не редкостью является аллергическая реакция на всеми признанные лекарственные растения, например, на ромашку.

Интересные с косметической точки зрения вещества могут содержаться в разных частях растения (семенах, корнях, листьях, цветках и т.д.). На их количество и строение влияют различные обстоятельства, к которым принадлежат прежде всего период вегетации, погодные условия, питание и даже время суток.

Стремясь обеспечить комплексное противовоспалительное, антимикробное, вяжущее, смягчающее или другие виды лечебно-косметического действия, в состав препаратов часто вводят комплекс БАВ (витамины, микроэлементы, белки, ферменты, гормоны, эфирные масла и др.). Чем больше в косметическом препарате содержится веществ природного происхождения, особенно биологически активных веществ из растений, тем полноценнее и полезнее считается косметический препарат.