This is an example of a HTML caption with a link.

Анализ лекарственных растений, содержащих витамины

Витамины (от лат. vita - жизнь) - органические соединения различной химической природы, необходимые в малых количествах для осуществления биохимических и физиологических процессов в живых организмах.

Организм человека не синтезирует витамины или синтезирует в незначительном количестве и поэтому должен получать их в готовом виде или в виде провитаминов с продуктами питания. Вместе с витаминами в пище содержатся биологически активные вещества, дефицит которых не приводит к заболеваниям. Эти вещества называются витаминоподобными. К ним относятся биофлавоноиды (витамин Р), холин, инозиты, липоевая, оротовая, пангамовая и α-аминобензойная кислоты.

Классификация.

Существует четыре классификации витаминов. Одной из первых была предложена буквенная классификация. Одновременно витамины получали названия, соответствущие их биологической или физиологической роли в организме. Например, витамин D (кальциферол, антирахитический) регулирует соотношение кальция и фосфора в костях; недостаток витамина в рационе детей приводит к возникновению рахита. Витамин Е (токоферол, витамин размножения) поддерживает репродуктивную функцию (от греч. tokos - потомство, phew - несущий).

Классификация витаминов по растворимости заключается в делении их на жиро-

и водорастворимые

. К жирорастворимымотносятся витамины групп A, D, Е, К, F; к водорастворимым

- групп В, РР, С, Н, U.

В соответствии с химической

классификацией витамины делятся на четыре группы:

1. Алифатические:

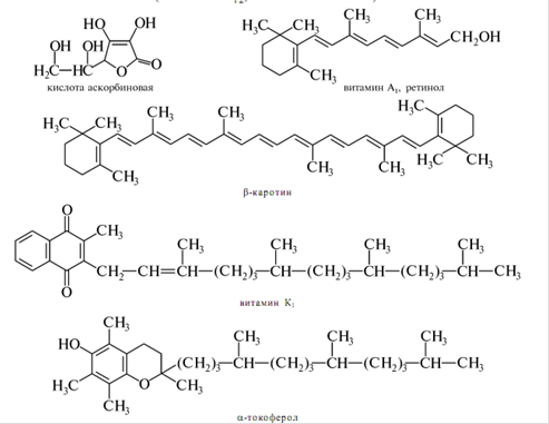
кислота аскорбиновая (витамин С, антискорбутный);

кислота пангамовая (витамин В15);

кислота пантотеновая (витамин В3, антидерматитный);

метилметионинсульфония хлорид (витамин U, противоязвенный).

2. Алициклические:

ретинолы (витамин А, антиксерофтальмический);

кальциферолы (витамин D, антирахитический).

3. Ароматические:

филлохинон (витамин К, антигеморрагический).

4. Гетероциклические:

токоферолы (витамин Е, витамин размножения);

биофлавоноиды (витамин Р, капилляроукрепляющий);

кислота никотиновая (витамин РР, никотинамид, ниацин, антипеллагрический);

пиридоксин (витамин B6, антидерматитный);

тиамин (витамин В1, антиневритный);

рибофлавин (витамин В2, витамин роста);

биотин (витамин Н, антисеборейный);

кислота фолиевая (витамин Вс, фолацин, антианемический);

кобаламины (витамин В12, антианемический).

Соединения, которые не являются витаминами, но служат предшественниками их образования в организме, называются провитаминами

. К ним относятся, например, каротиноиды, которые расщепляются в организме с образованием витамина А, некоторые стерины, превращающиеся в витамин D.