This is an example of a HTML caption with a link.

Анализ лекарственных растений, содержащих флавоноиды

. Флавоноиды, имеющие две оксигруппы у С-3 и С-5, дают хелаты желтого цвета за счет образования водородных связей между карбонильной и гидроксильными группами.

Реакция с борно-лимонным реактивом

(реакция Вильсона

). Флавоноиды, у которых гидроксильная и карбоксильная группы отделены углеродным атомом, образуют комплексы с кислотой борной, которые не разрушаются лимонной и щавелевой кислотами.

При этом появляется желтая окраска или ярко-желтая флуоресценция, которая резко усиливается в УФ-свете.

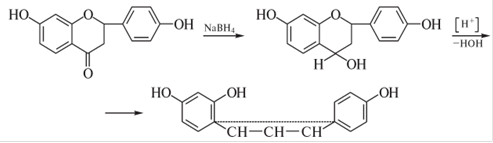
Флаваноны и флаванонолы восстанавливаются натрия боргидридом с образованием окрашенных продуктов пурпурно-красного, фиолетового или синего цвета.

Катехины, а также производные флороглюцина и резорцина с 1 % -ным раствором ванилина в кислоте хлористоводородной концентрированной образуют малиново-красное окрашивание.

Хроматографический анализ.

Для идентификации флавоноидов широко применяют различные виды хроматографии: бумажную, ТСХ, газожидкостную. Учитывают окраску пятен в видимом и УФ-свете до и после проявления хромогенными реактивами, величину Rf, или время удерживания.

Флавоны и флавонол-3-гликозиды в УФ-свете обнаруживаются в виде коричневых пятен; флавонолы и их 7-гликозиды - в виде желтых или желто-зеленых пятен. Изофлавоноиды в видимом свете не проявляются.

После просматривания в УФ-свете хроматограммы обрабатывают одним из реактивов: 5 % -ным спиртовым раствором AlCl3 с последующим нагреванием при 100±5°С в течение 3-5 мин; 5 % -ным раствором SbCl3 в тетрахлорметане; 10 % -ным спиртовым раствором щелочи. Это позволяет получить зоны с более яркой флюоресценцией в УФ-свете (таб 2.1).

Таблица 2.1

Окраска пятен флаваноидов на хроматограммах.

Количественное определение

. Универсального метода количественного определения флавоноидов нет. В каждом отдельном случае подходят индивидуально, используя весовой, фотометрический, полярографический, потенциометрический, объемный или комплексонометрический методы.

Наибольшее распространение получили спектральные методы анализа, которые можно классифицировать по реакциям образования окрашенных продуктов: восстановления в кислой среде или с натрия боргидридом; реакции комплексообразования с металлами; соединение с солями диазония; взаимодействие со щелочами.

Биологическая активность.

Флавоноиды обладают широким спектром дей-ствия: капилляроукрепляющим, желчегонным, диуретическим, гепато-защитным, седативным, противовоспалительным, противоязвенным, гемо - статическим, бактерицидным, гипотензивным, гипогликемическим, анабо-лизирующим, противолучевым, антиоксидантным и др.

Перейти на страницу: 1 2